Honda Hr V 2019 Price In Malaysia From Rm108 800

Honda Hr V 2019 Price In Malaysia From Rm108 800
2018 Honda Hr V Facelift Open For Booking In Malaysia New
Honda Hr V 2019 Price In Malaysia October Promotions
Honda Hr V 2019 Price In Malaysia From Rm108 800
Honda Hr V Facelift Launched In Malaysia Four Variants
2019 Honda Hrv Facelift Leaked
Honda Hr V Rs Malaysian Spec Now With Full Black Interior
Salam 2019 Honda Hrv E 1 8 Berbaloi 8000 Tertinggi Rebate Kat Sini
Honda Hrv Price Malaysia 2019 Specs Price Formula Venture
Honda Hr V 2019 Price In Malaysia October Promotions
2019 Honda Hr V For Us Market Has Honda Sensing Carsifu
Honda Hr V 2019 Price In Malaysia From Rm108 800
Honda Hr V Facelift Launched In Malaysia Four Variants
2019 Honda Hrv Facelift Spied Price Release Specs
Honda Hr V Colours Available In 5 Colours In Malaysia
If Only The Honda Hr V Sport 1 5l Vtec Turbo Is Sold Here In
2019 Honda Hr V Pricing And Specs Caradvice
Honda Shop Malaysia Honda Cr V 2018 Malaysia
2019 Honda Cr V Best Suv Honda Malaysia
2019 Honda Hr V 1 8 Year End Promotion Cash Cars For Sale In Perai Penang
Honda Hr V 2019 Price In Malaysia From Rm108 800
2018 Honda Hr V Facelift Open For Booking In Malaysia New
2019 Honda Hr V Everything You Ever Wanted To Know All New Honda Hrv 2019 Vezel 2019
Honda Hr V 2019 Price In Malaysia October Promotions
Honda Hr V Hybrid Hr V Rs Enter Malaysian Market
2019 Honda Hr V For Us Market Has Honda Sensing Carsifu
Honda Shop Malaysia Honda Hrv V 2019
Honda Hr V 2019 Price In Malaysia From Rm108 800
So Many Reasons To Love The Honda Hr V Rs Free Malaysia Today
Honda Hr V 2019 I Vtec Rs 1 8 In Kuala Lumpur Automatic Suv Others For Rm 124 800 5544030 Carlist My
First Look 2018 Honda Hr V Rs Facelift In Malaysia
2019 Honda Hr V Review Ratings Specs Prices And Photos
So Many Reasons To Love The Honda Hr V Rs Free Malaysia Today
Honda Hr V 2019 Price In Malaysia From Rm108 800
Honda Crv Malaysia 2019 Specifications And Price Formula
Gallery Honda Hr V Hybrid Facelift In The Metal Rm120 800
The Official Home Of Honda Malaysia
2019 Honda Hr V 1 8 A High Rebate Cars For Sale In Simpang Empat Kedah
The All New Honda Cr V A Super Performing Family Car The
Honda Hrv 2019 Launched In Japan
Cr V Honda Malaysia Promotions On October 2019
Honda Cr V Mugen Concept At The Malaysia Autoshow
Honda Hr V Ru Facelift 2019 Exterior Image 53820 In
Honda Cr V 2019 I Vtec 2 0 In Kuala Lumpur Automatic Suv Silver For Rm 131 400 5934173 Carlist My
The Official Home Of Honda Malaysia
Honda Hr V Facelift Officially Launched From Rm108k Hr V
Honda Hrv Price Malaysia 2019 Specs Price Formula Venture
Honda Hr V 2019 Price In Malaysia From Rm108 800
Hmsb Introduces New Honda Hr V Rs Variant Coming In Q3
Honda Shop Malaysia Honda Cr V 2018 Malaysia
The Honda Hr V Sport Is Yet Another Sporty Suv Top Gear
Honda Hr V 2019 Price In Malaysia October Promotions
The Official Home Of Honda Malaysia
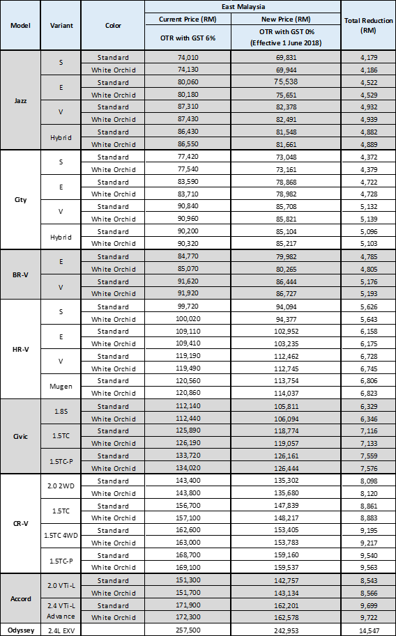
Honda Malaysia Price 2019 Senarai Harga Otr Bayaran
Honda Cr V Colors Honda Malaysia
Honda Hrv Sport Edition Gets All Black Treatment Suzuki
Proton X50 Vs Honda Hr V Which To Buy Tomorrow Mymotor News
Color Options For The 2019 Honda Hr V
Honda Hrv 2019 Hybrid H E V Full Loan Years Sale Cars For Sale In Kepong Kuala Lumpur
Honda Hr V 2019 Review Carsguide
Tas 2019 Honda Hr V Modulo X Concept Revealed
Honda Cr V 2019 Price In Malaysia October Promotions
Honda Crv 2019 Malaysia Review Honda Cars Review Release
Battle Of The Compact Suvs Honda Hr V Versus Toyota C Hr
Honda Hr V Ru Facelift 2019 Exterior Image 53821 In
2019 Honda Hr V Pricing And Specs Caradvice
Color Options For The 2019 Honda Hr V
2019 Honda Hr V Paint Color Options
Honda Promotion October 2019 Authorised Sales Dealer For
Honda Shop Malaysia Honda Hrv V 2019
Car Dashboard Cover Dash Mat For Honda Hr V 2015 2019
Honda Hr V 2019 Review Carsguide
Harga Honda Hrv Rear Bumper Light Price In Malaysia My
Honda Hrv Sport Edition Gets All Black Treatment Suzuki
2019 Honda Hr V Vs 2019 Mazda Cx 3 Head To Head U S
Honda Hr V India Launch Date Price Specifications
Honda Hrv 2019 Adventure Bodykit Body Kit Skirt Car Accessories Parts For Sale In Setapak Kuala Lumpur
2019 Honda Hr V Technology And Safety Review Autodeal
All New Honda Cr V Launched In Malaysia 4 Variants From
Honda Hr V 1 8l Mugen Limited Edition Malaysia 2019 Price
2019 Honda Hr V 1 5 I Vtec Raya Promotion 4k Bodykit
2018 Honda Crv 7 Seater Price Specifications Interior Mileage
Honda Hr V Ru Facelift 2019 Exterior Image 53824 In
Weekend Feature Honda Hr V Hybrid I Dcd Driven News And
Giias 2019 Honda Hr V Mugen Facelift Gets Kitted Out
Honda Crv 2018 2019 Auto Tailgate Power Boot
2019 Honda Hrv Facelift Spied Price Release Specs
Newer Post Older Post
0 comments:
Post a Comment